性爱影片

当前位置: 性爱影片 > 性爱影片中心 > 学术活动 > 正文

College Colloquium—In the footsteps of Erdös, Ko, and Rado

发布日期:2025-04-18点击数:

报告人:Peter Frankl(方培德) 教授(Alfréd Rényi Institute of Mathematics, Hungarian Academy of Sciences)

时间:2025年04月24日 09:30-

地点:理科楼LA103   

个人网页链接://users.renyi.hu/~pfrankl/ 


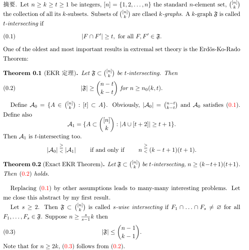
摘要:


邀请人: 傅士硕


欢迎广大师生积极参与!



关于我们
性爱影片 的前身是始建于1929年的性爱影片 理学院和1937年建立的性爱影片 商学院,理学院是性爱影片 最早设立的三个学院之一,首任院长为数学家何鲁先生。